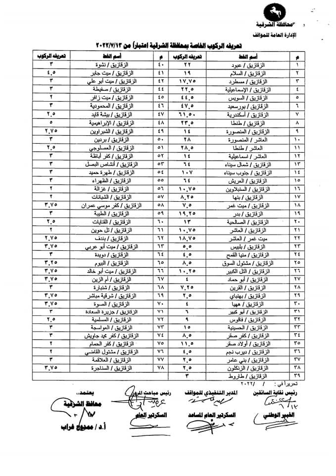
ننشر تعريفة الركوب الجديدة بالشرقية بعد زيادة أسعار البنزين والسولار | مستندات
ترأس الدكتور ممدوح غراب، محافظ الشرقية، اجتماعًا، في ديوان عام محافظة الشرقية؛ لإقرار تعريفة الركوب الجديدة بمختلف مواقف سيارات مراكز ومدن وخطوط السير في محافظة الشرقية، عقب قرار الحكومة بتحريك أسعار الوقود وارتفاع أسعار لتر البنزين والسلار بمختلف أنواعها بقيمة 50 قرشا للتر الواحد، باستثناء لتر بنزين 95 الذي تقرر ارتفاع سعره بقيمة 100 قرش للتر الواحد.
إقرار التعريفة الجديدة للركوب بعد رفع أسعار الوقود في الشرقية
أوضح محافظ الشرقية، أنه جرى تحديد الأجرة بمحافظة الشرقية في ضوء توجيهات رئاسة مجلس الوزراء بشأن تحديد الأجرة، على أن تكون الزيادة من 5% إلى 7% من تعريفة الأجرة الحالية، إذ تمت مناقشة آليات وضع التعريفة الجديدة لسيارات الأجرة بنطاق المحافظة، بما يشمل خطوط السير في كل مركز ومدينة وضواحيها داخل نطاق محافظة الشرقية.
وأشار محافظ الشرقية، إلى أنه تمت مراعاة الظروف الاقتصادية للمواطن، ومراعاة الاتصال بالنظير بالمقابل مع المحافظات الأخرى، وعمل استيكر بالبانر على كل سيارة موضح به خط سير السيارة والأجرة التي تم تحديدها بالنسبة للخطوط ما بين محافظة الشرقية.
وفي نهاية الاجتماع، تمت الموافقة على التعريفة الجديدة التي تم عرضها لسيارات الأجرة بمراكز ومدن محافظة الشرقية، وسط توجيهات لـ إدارة مرور الشرقية ومباحث المرور بضرورة متابعة التزام السائقين بالتعريفة الجديدة، وكذلك التنبيه على مديرية التموين ومباحث التموين بمتابعة محطات الوقود للالتزام بالتسعيرة الجديدة.


