تبدأ 14 مايو.. تجارة حلون تعلن جداول امتحانات نهاية العام 2024| صور
أعلنت كلية التجارة وإدارة الأعمال بـ جامعة حلوان، جداول امتحانات الفصل الدراسي الثاني للعام الدراسي الحالي 2023-2024 حتى يكون الطلاب على علم بها، لكي يبدأوا مراجعة المقررات الدراسية، مشيرة إلى أن امتحانات الفرقة الأولى سوف تبدأ يوم السبت 18 مايو المقبل بمادة إدارة عامة، أما الفرق الدراسية الأخرى ستبدأ يوم 14 مايو.
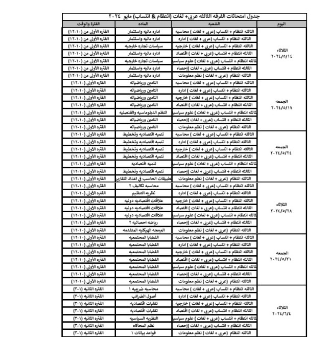
امتحانات الفصل الدراسي الثاني 2024
ويتساءل الكثير من طلاب كلية التجارة بـ جامعة حلوان، عن جداول امتحانات الفصل الدراسي الثاني 2024 لجميع الفرق الدراسية حتى يكونوا على علم بها، لكي يبدأوا الاستعداد لأداء الامتحانات من خلال المذاكرة والمراجعة أكثر من مرة حتى يحصلون على تقديرات مرتفعة.
ولذلك يقدم القاهرة 24، جداول امتحانات الفصل الدراسي الثاني بـ كلية تجارة حلوان في السطور التالية، والتي جاءت كالتالي:




وفي وقت سابق، استقبل اليوم الدكتور السيد قنديل رئيس جامعة حلوان السفيرة Leonora Rueda سفيرة المكسيك بالقاهرة، وEduardo Fragoso مسؤول الشؤون الثقافية والاقتصادية بالسفارة، لبحث تبادل الخبرات وسبل التعاون بين جامعة حلوان والجامعات المكسيكية، خاصة في وجود العديد من أوجه التشابه بين البلدين، حيث يأتي ذلك تأكيدا على الدور المهم الذي تقوم به جامعة حلوان في تعزيز التعاون الدولي مع الجامعات المختلفة لتبادل الخبرات والمعارف، ويعد هذا اللقاء خطوة هامة في تعزيز التعاون الثقافي والتعليمي بين مصر ودولة المكسيك.


