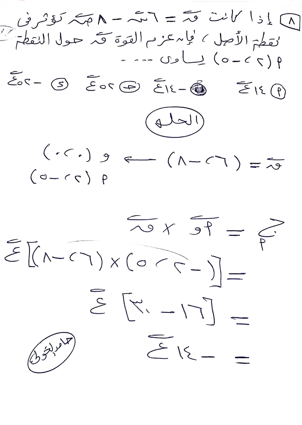
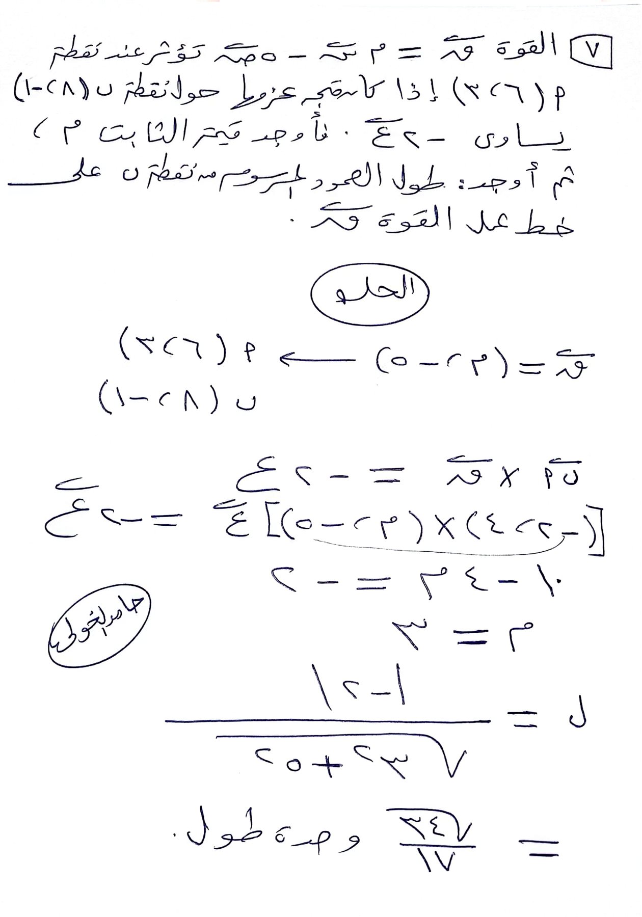
40 سؤالا لن يخرج عنها الامتحان.. مراجعة شاملة في الاستاتيكا لطلاب الثانوية العامة
تعليم
طلاب الثانوية العامة
الإثنين 15/يوليو/2024 - 11:02 م
ينشر موقع القاهرة 24 توقعات أسئلة الثانوية العامة 2024 في مادة الاستاتيكا من إعداد الأستاذ حامد الخولي، وذلك قبل ساعات من انطلاق امتحان الاستاتيكا لطلاب الثانوية العامة 2024 للعام الدراسي الحالي 2023-2024، حيث من المقرر أن ينطلق بعد غد الأربعاء.
توقعات أسئلة الثانوية العامة 2024 في مادة الاستاتيكا
ويقدم موقع القاهرة 24 في السطور التالية، أهم الأسئلة والتوقعات لأسئلة الثانوية العامة في مادة الاستاتيكا للعام الدراسي الحالي 2024.





























