ننشر أسماء المقبولين في مسابقة 30 ألف معلم من أبناء الشرقية | مستندات
محافظات
مديرية التربية والتعليم بمحافظة الشرقية
الجمعة 06/سبتمبر/2024 - 12:23 ص
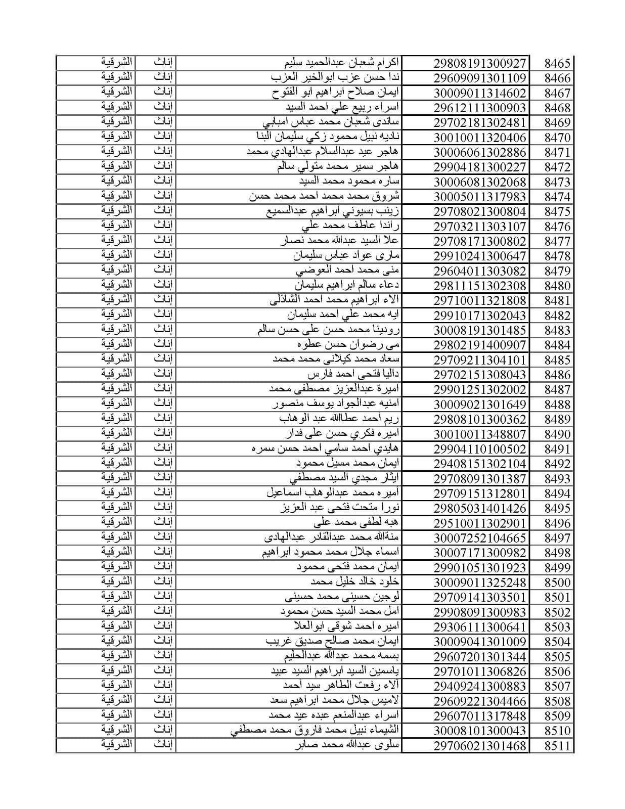
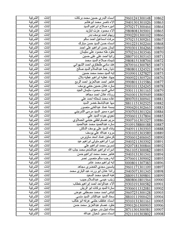
أعلنت مديرية التربية والتعليم في محافظة الشرقية، الكشوف النهائية لـ أسماء المعلمين المساعدين المقبولين في مسابقة 30 ألف معلم للمتقدمين من أبناء المحافظة (الدفعة الثانية)؛ وذلك في أعقاب اعتمادها من جانب محمد عبد اللطيف وزير التربية والتعليم والتعليم الفني.
قبول 2788 معلما ومعلمة في مسابقة 30 ألف معلم بالشرقية
الكشوف التي أعلنتها مديرية التربية والتعليم في محافظة الشرقية، أفادت بأنه قد تم قبول 2788 معلما ومعلمة مساعدين من أبناء محافظة الشرقية في مسابقة 30 ألف معلم (الدفعة الثانية).
وأوضحت مديرية التربية والتعليم في محافظة الشرقية، بأنه تم كذلك إعلان نتيجة تظلمات المسابقة الأولى، وذلك على النحو التالي..


