ننشر كشوف أسماء المقبولين بمسابقة الـ30 ألف معلم في المنيا
أعلنت مديرية التربية والتعليم بمحافظة المنيا، خلال الساعات القليلة الماضية، عن كشوف أسماء المقبولين في مسابقة الـ30 ألف معلم، من الدفعة الثانية والمتظلمين من الدفعة الأولى.
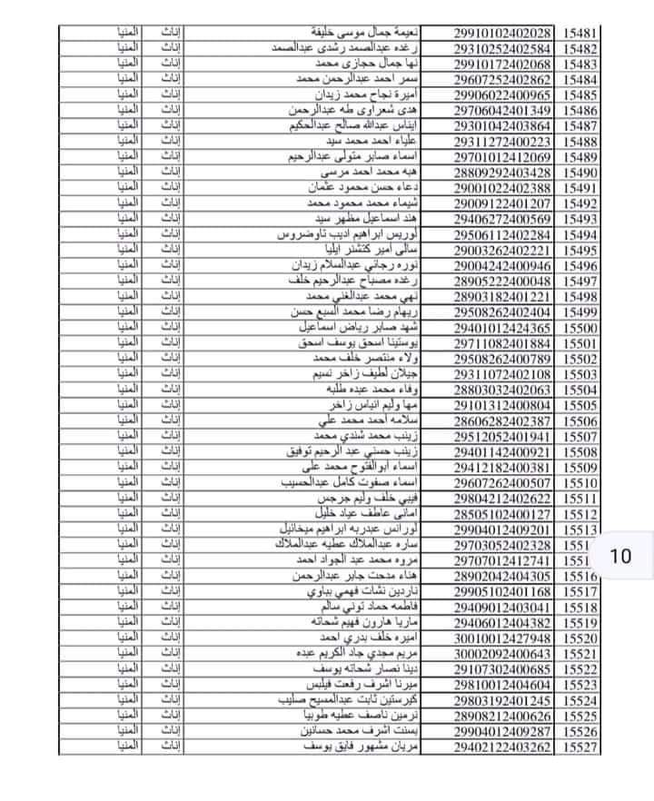
أسماء المقبولين في مسابقة الـ 30 ألف معلم بالمنيا
وكشف مصدر مسؤول بوزارة التربية والتعليم، أنه سيتم استلام العمل للمعلمين الناجحين في مسابقة 30 ألف معلم الدفعة الثانية، والإعادة للمرحلة الأولى، بعد الانتهاء من مسوغات التعيين والكشف الطبي، على أن يجرى توزيعهم على المدارس الأكثر عجزا داخل المديرية، ووفقا لما يراه مديري المديريات.
وكانت وزارة التربية والتعليم، أعلنت في تصريحات سابقة أن هذه الخطوة تأتي في إطار حرص الدولة على توفير كوادر تعليمية مؤهلة قادرة على تقديم أفضل الخدمات التعليمية للطلاب، وتلبية احتياجات سوق العمل المتزايدة.
وجاءت أسماء المقبولين طبقا للكشوف المعلن عنها كالتالي:


















أسماء المقبولين بمسابقة الـ30 الف معلم في المنيا


