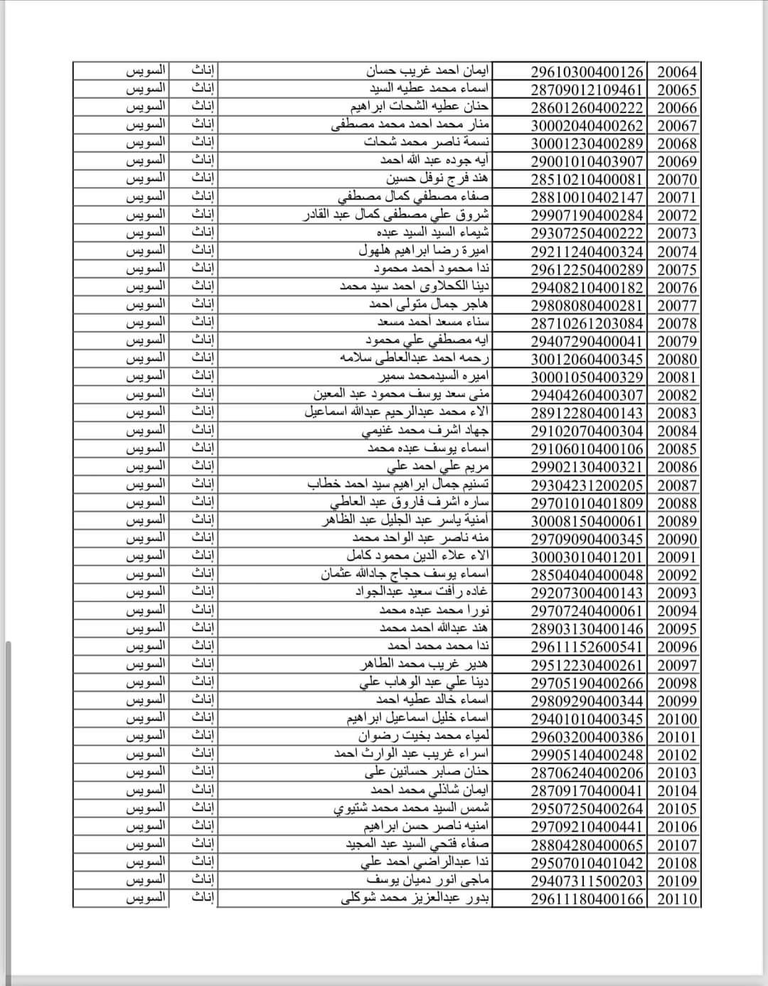
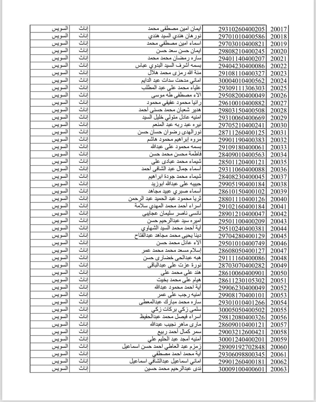
أسماء المقبولين في مسابقة 30 ألف معلم بالسويس
أعلنت مديرية التربية والتعليم بمحافظة السويس، أسماء المقبولين في مسابقة 30 ألف معلم في السويس.
أسماء المقبولين في مسابقة 30 ألف معلم بـ السويس
ووجّه ياسر عمارة، وكيل وزارة التربية والتعليم بمحافظة السويس، في بيان، التهنئة للمعلمين المقبولين في مسابقة الـ 30 ألف معلم.
وقال وكيل وزارة التربية والتعليم بمحافظة السويس إنه سيتم الإعلان عن طريقة إنهاء إجراءات التعاقد للمقبولين في مسابقة 30 ألف معلم.
وينشر القاهرة 24، أسماء المقبولين في المسابقة التي أعلنت عنها مديرية التربية والتعليم بمحافظة السويس، كما يأتي:






استعدادات محافظة السويس للعام الدراسي الجديد
وتستعد محافظة السويس للعام الدراسي الجديد من خلال التنسيق مع رؤساء أحياء السويس الخمسة لرفع كفاءة محيط المدارس بالتزامن مع تجهيز الفصول الدراسية.
وقام الدكتور عبد الله رمضان، نائب محافظ السويس، بجولات تفقدية في العديد من مدارس المحافظة لمتابعة الاستعدادات النهائية لاستقبال العام الدراسي الجديد والتأكد من وصول الكتب المدرسية إلى المخازن.
وأكدت المهندسة صفاء فضيل، رئيس حي الجناين، على نشر فرق النظافة في محيط جميع المدارس ورفع درجة الاستعداد وإزالة الإشغالات لتهيئة المدارس للعام الجديد.
وفي حي فيصل، قالت المهندسة فاتن عبد الغني، رئيس حي فيصل، إنه تم التأكيد على الإدارة الهندسية بإزالة الإشغالات والتعديات من محيط المدارس، والتنسيق المستمر مع مديرية التربية والتعليم لتقديم الخدمات والعمال المسؤولين عن النظافة العامة للحفاظ على المشهد الجمالي.


